氣體泄漏時從裂口噴出形成氣體噴射。大多數情況下氣體直接噴出后,其壓力高于周圍環境大氣壓力,溫度低于環境溫度。在進行噴射計算時,應以等價噴射孔口直徑來計算。等價噴射的孔口直徑按下式計算:
![]()
式中??D——等價噴射孔徑,m;
Do——裂口孔徑,m;
ρo——泄漏氣體的密度,kg/m3;
ρ——周圍環境條件下氣體的密度,kg/m3。
如果氣體泄漏能瞬間達到周圍環境的溫度、壓力狀況,即ρo=ρ,則D=Do。
A??噴射的濃度分布
在噴射軸線上距孔口x處的氣體濃度c(x)為:
式中 ?b1、b2——分布函數,其表達式如下:
其他符號意義同前。
如果把式6—17改寫成x是c(x)的函數形式,則給定某濃度值c(x),就可算出具有該濃度的點至孔口的距離x。
在過噴射軸線上點x且垂直于噴射軸線的平面內任一點處的氣體濃度為:
式中?c(xy)——距裂口距離x且垂直于噴射軸線的平面內y點的氣體濃度,kg/m3;
c(x)——噴射軸線上距裂口x處的氣體濃度,kg/m3;
b2——分布參數,同前;
y——目標點到噴射軸線的距離,m。
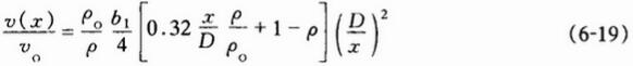
B ?噴射軸線上的速度分布
噴射速度隨著軸線距離增大而減小,直到軸線上的某一點噴射速度等于風速為止。該點稱為臨界點,臨界點以后的氣體運動不再符合噴射規律。沿噴射軸線的速度分布由下式得出:
式中??ρ0——泄漏氣體的密度,kg/m3;
ρ——周圍環境條件下氣體的密度,kg/m3;
D——等價噴射孔徑,m;
b1——分布參數,同前;
x——噴射軸線上距裂口某點的距離,m;
υ(x)——噴射軸線上距裂口J處一點的速度,m/s;
υ0——噴射初速,等于氣體泄漏時流經裂口時的速度,m/s,按下式計算:
式中??Q——氣體泄漏速度,kg/s;
Cd——氣體泄漏系數;
D——裂口直徑,m。
當臨界點處的濃度小于允許濃度(如可燃氣體的燃燒下限或有害氣體允許濃度limitation值)時,只需按噴射擴散來分析;當該點濃度大于允許濃度時,則需要進一步分析泄漏氣體在大氣中擴散的情況。




