如前所述,泄漏物質的特性多種多樣,而且還受原有條件的強烈影響,但大多數物質從容器中泄漏出來后,都將發展成彌散的氣團向周圍空間擴散。對可燃氣體如果遇到引火源會著火。這里僅討論氣團原形釋放的開始形式,即液體泄漏后擴散、噴射擴散和絕熱擴散。關于氣團在大氣中的擴散屬環境保護范疇,在此不予考慮。
1??液體的擴散
液體泄漏后立即擴散到地面,一直流到低洼處或人工邊界,如防火堤、岸墻等,形成液池。液體泄漏出來不斷蒸發,當液體蒸發速度等于泄漏速度時,液化中的液體量將維持不變。
如果泄漏的液體是低揮發度的,則從液池中蒸發量較少,不易形成氣團,對廠外人員沒有危險;如果著火則形成池火災;如果滲透進土壤,有可能對環境造成影響。如果泄漏的是揮發性液體或低溫液體,泄漏后液體蒸發量大,大量蒸發在液池上面后會形成蒸氣云,并擴散到廠外,對廠外人員有影響。
?A液池面積
如果泄漏的液體已達到人工邊界,則液池面積即為人工邊界圍成的面積。如果泄漏的液體未達到人工邊界,則可假設液體的泄漏點為中心呈扁圓柱形在光滑平面上擴散,這時液池半徑r用下式計算:
(1)瞬時泄漏(泄漏時間不超過30s)時:
(2)連續泄漏(泄漏持續10min以上)時:
式中 ?r——液池半徑,m; ? ? m——泄漏的液體量,kg; ? ? g——重力加速度,g=9.8m/s2; ? ? t——泄漏時間,s。
B ?蒸發量
液池內液體蒸發按其機理可分為閃蒸、熱量蒸發和質量蒸發3種,下面分別介紹:
(1)閃蒸:過熱液體泄漏后由于液體的自身熱量而直接蒸發稱為閃蒸。發生閃蒸時液體蒸發速度Q可由下式計算:
式中??Fv——直接蒸發的液體與液體總量的比例;
m——泄漏的液體總量,kg;
t——閃蒸時間,s。
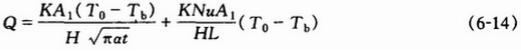
(2)熱量蒸發:當Fv<1或Qt<m時,則液體閃蒸不完全,有一部分液體在地面形成液池,并吸收地面熱量而氣化稱為熱量蒸發,其蒸發速度Q按下式計算:
式中
A1——液池面積,m2;
To——環境溫度,K;
Tb——液體沸點,K;
H——液體蒸發熱,J/kg;
L——液池長度,m;
α——熱擴散系數,m2/s,見表6-2所示;
K——導熱系數,J/(m·K),如表6-2所示;
t——蒸發時間,s;???Nu——努塞爾(Nusselt)數。
(3)質量蒸發:當地面傳熱停止時,熱量蒸發終了,轉而由液池表面之上氣流運動使液體蒸發稱為質量蒸發。其蒸發速度Q為:
式中??
α——分子擴散系數,m2/s;?????
Sh——舍伍德(Sherwood)數;?????
A——液池面積,m2;?????
L——液池長度,m;
ρ1——液體的密度,kg/m3。



